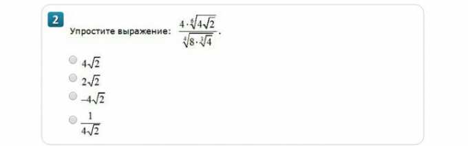
Помогите пожалуйста с решением
Ответ
5 (1 оценка)
1
СтасЕфремов 9 лет назад
Светило науки - 83 ответа - 119 раз оказано помощи
.......................................................

Остались вопросы?