+15
4 года назад
Алгебра
5 - 9 классы
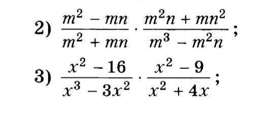
Ответ:
Объяснение:
.........
Не помнишь пароль?
Нет аккаунта? Пройди быструю регистрацию!
Передумали регистрироваться? Предлагаем войти на сайт!
Вспомнили пароль? Войдите на сайт
Ответ:
Объяснение:
.........