+20
4 года назад
Алгебра
5 - 9 классы
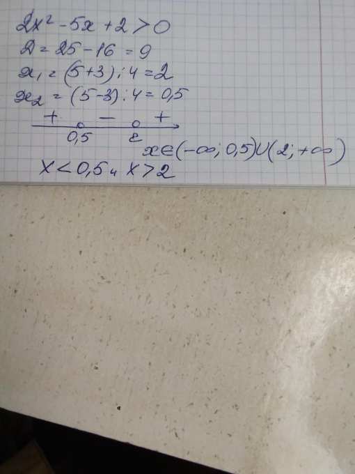
Смотри.........................
Не помнишь пароль?
Нет аккаунта? Пройди быструю регистрацию!
Передумали регистрироваться? Предлагаем войти на сайт!
Вспомнили пароль? Войдите на сайт
Смотри.........................