+100
4 года назад
Геометрия
5 - 9 классы
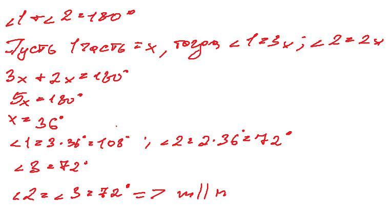
Ответ:
Фото
Объяснение:
Не помнишь пароль?
Нет аккаунта? Пройди быструю регистрацию!
Передумали регистрироваться? Предлагаем войти на сайт!
Вспомнили пароль? Войдите на сайт
Ответ:
Фото
Объяснение: